next up previous contents
Nächste Seite: 3 Theoretischer Teil Aufwärts: 2 Experimenteller Teil Vorherige Seite: 5 Messvorbereitungen   Inhalt

Unterabschnitte

6 Messungen und gewonnene Daten

In diesem Abschnitt werden zunächst die durchgeführten Messungen zusammengestellt. Danach werden die optimalen Parameter der elektrischen Stimulation bestimmt. Am Ende werden die einzelnen Messungen und gewonnene Daten ausführlich vorgestellt.

6.1 Die verschiedenen Messungen im überblick


Tabelle 1: Die verschiedenen Messungen im überblick
  isometrisch isotonisch
aktiv $F_A(t), F^0_A(l), \Delta F^M_A(l)$ $l_A(t), l^0_A(F), \Delta l^M_A(F) ; v_A(t),v^M_A(F)$
passiv $F_P(t), F^s_P(l)$ $l_P(t)$

Mit der Organbadanlage ohne Schrittmotorerweiterung lässt sich nur die isometrische Messung durchführen. Bei dieser Messung wird die Länge der Probe über die Mikrometerschraube voreingestellt und dann während einer Messung nicht mehr verändert (isometrisch). Bei Aktivierung des Muskels durch elektrische Stimulation wird eine Kontraktionskraft $F_A(t)$ am Kraftaufnehmer gemessen (siehe Abbildung 19). Die maximale Kontraktionskraft $\Delta F^M_A(l)$, die der Muskel nach Aktivierung zusätzlich zur Ruhespannung $F^0_A(l)$ noch erzeugen kann, ist von der voreingestellten Längung $ l $ abhängig (siehe Abbildung 20).

Bei der passiven Messung wird der Muskel sprunghaft verlängert oder verkürzt, d.h. die Längenänderungen von $0.5
\,mm$ erfolgen in einem Zeitraum von weniger als $0.1\,s$. Der sich daraufhin einstellende Ausgleichsprozess $F_P(t)$ wird aufgezeichnet (siehe Abbildung 16). Die sich am Ende dieses Ausgleichsprozesses einstellende Kraft $ F^s_P(l) $ ist von der Länge des Muskels abhängig (siehe Abbildung 17).

Durch die Schrittmotoreinheit ist nun eine isotone Messung möglich. Bei dieser werden die Kraft konstant gehalten (isoton) und die bei einer Aktivierung sich einstellende Verkürzung des Muskels aufgezeichnet (siehe Abbildung 23). Die maximale Kontraktion $\Delta l^M_A(F)$, um die der Muskel noch zusätzlich zur Ruhelänge $l^0_A$ kontrahiert, hängt dabei von der konstant zuhaltenden Kraft $ F $ ab (siehe Abbildung 25). Aus den Längen $l_A(t)$ können die Kontraktionsgeschwindigkeiten $v_A(t)$ berechnet werden. Die maximale Kontraktionsgeschwindigkeit $v^M_A(F)$ hängt dabei auch von der Kraft ab (siehe Abbildung 26).

Bei der passiven Messung werden die Soll-Kraft der Schrittmotorregelung innerhalb von $0.1\,s$ sprunghaft verändert und die sich daraufhin einstellende Längenänderung $l_P(t)$ aufgezeichnet (siehe Abbildung 22). Die sich am Ende dieses Ausgleichsprozesses einstellende Länge $l^s_P(F)$ ist von der Kraft abhängig.

Diese Zusammenhänge sind in Tabelle 1 dargestellt.

6.2 Bestimmung des Reizfensters

Abbildung 14: Maximale Kraftentwicklung $\Delta F^M_A$ bei isometrischer Kontraktion nach elektrischer Stimulation aufgetragen über Reizdauer und Reizamplitude (Probe 1-A). Schwarze Punkte entsprechen einzelnen Kontraktionen. Die eingezeichnete Ausgleichsfläche verdeckt viele Punkte.
Image fenst1

Zur Bestimmung des aktiven Verhaltens des Muskels ist es nötig, den Muskel elektrisch so zu reizen, daß er möglichst stark kontrahiert und dabei keinen Schaden nimmt. Am Signalgenerator sind Dauer und Stromstärke der Signale einstellbar. Bei zu kleiner Reizdauer oder Amplitude wird der Muskel nicht ausreichend aktiviert; wo hingegen bei zu dauerhafter und starker Reizung der Muskel Schaden nimmt. In Abbildung 14 ist die maximale Kraft $\Delta F^M_A$ bei isometrischer Kontraktion über die Reizparameter Dauer und Amplitude aufgetragen (Probe 1-A). Dabei ist durch über 500 Einzelmessungen (schwarze Punkte) eine Ausgleichsfläche gezeichnet.

Deutlich zu erkennen ist bei kleinen Amplituden ($<15\,mA$) und kurzen Reizlängen ($<3\,s$) eine relativ starke Kontraktion. Nur bei sehr viel größere Amplituden und längere Reizdauern kontrahiert der Muskel noch stärker. Die nachfolgenden Messungen des aktiven Verhaltens werden mit Reizen der Dauer von $1$ bis $2 \, s$ und Amplituden von $10$ bis $20\,mA$ durchgeführt.

Die Deutlichkeit, mit der das oben erwähnte relative Maximum bei kurzer Reizdauer und kleiner Reizamplitude hervortritt, ist erstaunlich. Die maximale Kontraktionskraft nach elektrischer Stimulation mit Rechteckimpulsen gleicher Amplitude und zunehmender Länge bzw. gleicher Länge und zunehmender Amplitude nimmt im allgemeinen in Form einer Sättigungskurve monoton zu. Es ist zu bedenken, dass der Muskel wahrscheinlich ein Gedächtnis für bereits erfolgte Stimulationen besitzt: wurde er z.B. zu stark gereizt, wird sich dies auf die folgenden Reaktionen auswirken. Aus der Sicht der Reiz-Geschichte, die der Muskel erfuhr, ist Abbildung 14 problematisch, liefert aber Anhaltspunkte für eine grobe Orientierung.

6.3 Isometrische Messung des passiven Verhaltens

Es soll hier die passive Kraftentwicklung des Muskels bei Längung untersucht werden. Die Abhängigkeit der Kraftentwicklung von der Längung wird durch die Kraft-Längenkurve $ F^s_P(l) $ angegeben.

6.3.1 Messdaten

Abbildung 15 zeigt einen Ausschnitt aus den Messdaten (Probe 2-B). Es wurde Kraft über Zeit aufgetragen. Die Abtastung erfolgte mit $2 \,Hz$. Lokale Kraftmaxima entsprechen einer Längung der Probe und lokale Minima einer Verkürzung. Die Längenänderung erfolgte manuell über eine Mikrometerschraube am Organbad. Die Einstellungen erfolgten ruckartig und wurden jedesmal notiert. Eine typische Längenänderung pro Schritt ist $0,1 \,mm$ bei einer Gesamtlänge der Probe 2-B von $3.3 \,mm$.

Abbildung 16 zeigt vergrö§ert einen einzelnen Relaxationvorgang nach sprunghafter Längung der Gewebeprobe von $6.5 \, mm$ auf $6.6 \, mm$. Der Zeitnullpunkt fällt nun mit der Längung der Probe zusammen.

Abbildung 15: Ausschnitt aus den Messdaten (Probe 2-B)
Image flpglob

Abbildung 16: Vergrößerung eines einzelnen Peaks (Probe 2-B). Zeitnullpunkt: sprunghafte Längenzunahme um $0.1\,mm$
Image isomP

6.3.2 Auswertung der Daten

An Abbildung 16 sieht man, daß auch noch lange Zeit nach der ruckartigen Längung die Probe nachgibt. Zwei Fragen sind in diesem Zusammenhang von Interesse: Zum einen die Frage nach dem zeitlichen Verhalten ($F_P(t)$-Kurve), wie das Gewebe nachgibt, und zum anderen nach dem stabilen Endzustand ($ F^s_P(l) $) des Gewebes.

Um aus den gemessenen $F_P(t)$-Kurven den stabilen Endzustand $ F^s_P(l) $ bestimmen zu können, wird eine in Abschnitt 7.2 beschriebene nichtlineare Regression durchgeführt. Der Endzustand $ F^s_P(l) $ entspricht dabei dem zu schätzenden Parameter $g_0$ aus den Gleichungen 3 und 4 in Abschnitt 7.2.1.

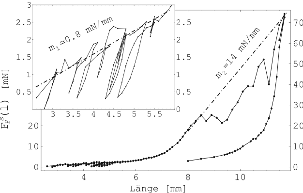
Abbildung 17 zeigt die so ermittelten Kräfte für $ t
\to \infty $ in Abhängigkeit von der jeweiligen Längung der Probe. Nacheinander gemessene Werte sind verbunden.

Abbildung 17: Ermittelte Werte der längenabhängigen Kraft $ F^s_P(l) $ (Probe 2-B). Links oben: Vergrößerung. Ausgleichsgeraden mit ungefähren Steigungen $m_1$ und $m_2$ sind angedeutet. Die Ausgangslänge $l_0$ der Probe beträgt $3,3 \, mm$.
Image flp1

6.3.3 Ergebnisse

In Abschnitt 2.4.2 wurde darauf hingewiesen, daß ein überlineares Kraft-Längen-Verhalten für Muskelgewebe zu erwarten ist. Das wird durch diese Messung bestätigt. Die in Abbildung 17 angedeuteten Ausgleichsgeraden dienen der Abschätzung linear-elastischer Verhältnisse bei kleinen und großen Längungen des Gewebes. Hier ergibt sich etwa der Faktor 20. Der übergangsbereich liegt etwa bei der $2.5$-fachen Ruhelänge.

6.4 Isometrische Messung des aktiven Verhaltens

Es soll hier die Kontraktionsfähigkeit des Gewebes bei verschiedenen Längungen der Probe und gleichen Stimulationsparametern untersucht werden. Die Abhängigkeit der Kontraktionskraftentwicklung von der Längung wird durch die isometrische Kraft-Längenkurve $\Delta F^M_A(l)$ angegeben.

6.4.1 Messdaten

Abbildung 18 zeigt die Kontraktion des Gewebes (schwarze Linie) bei elektrischer Stimulation (graue Rechtecke) über der Zeit aufgetragen (Probe 3-C). Zum Zeitpunkt $65 \,s$ und $365 \,s$ wurde das Gewebe manuell nachgespannt. Die einzelnen Längungen des Gewebes wurden jeweils notiert. Insgesamt wurden etwa 300 Kontraktionen aufgezeichnet. Die elektrische Stimulation ist für alle Kontraktionen ein Rechteckimpuls der Dauer 2 Sekunden und mit der Amplitude von $17 \,mA$. Die Zeit zwischen den einzelnen Rechteckimpulsen beträgt etwa 30 Sekunden. Während der einzelnen Längungen wurde die Probe zwischen 10 und 20 mal stimuliert.

Abbildung 19 zeigt einen Einzelimpuls aus Abbildung 18. Die Ruhekraft $F^0_A(l)$ des Muskels direkt vor der Stimulation und die maximale zusätzliche Kraftentwicklung $\Delta F^M_A(l)$ nach erfolgter Stimulation sind eingezeichnet. Beide sind von der Länge des Muskels abhängig.

Abbildung 18: Ausschnitt aus den Messdaten (Probe 3-C), graue Rechtecke: elektrische Stimulation
Image flaglob

Abbildung 19: Einzelimpuls aus Abbildung 18, Zeitnullpunkt: Stimulationsbeginn, graues Rechteck: elektrische Stimulation
Image isomA

6.4.2 Auswertung der Daten

Die Abbildungen 20 zeigt die Mittelwerte und Standardabweichungen der Kraftentwicklung $\Delta F^M_A(l)$ der Probe 3-C bei elektrischer Stimulation für verschiedene Längungen. Die Abbildung 21 zeigt die Ruhekräfte $F^0_A(l)$.

Abbildung 20: Isometrische Kraft-Längenkurve $\Delta F^M_A(l)$ (Probe 3-C), die Ausgangslänge $l_0$ der Probe beträgt $4.1 \,mm$
Image flaf1

Abbildung 21: Ruhekraft $F^0_A(l)$ (Probe 3-C), Ausgleichsgeraden mit ungefähren Steigungen sind angedeutet. Die Ausgangslänge $l_0$ der Probe beträgt $4.1 \,mm$.
Image flaf01


6.4.3 Ergebnisse

Die Abbildung 20 kann mit den Abbildungen 3 und 5 verglichen werden. Dabei ist auf die Skalierung der Längenachsen zu achten. Die Existenz eines Kraftmaximums bei bestimmter Muskellänge (hier zwei bis dreifache Ausgangslänge) wird nur schwach bestätigt.

Die Abbildung 21 ist eigentlich auch eine Kraft-Längen-Kurve des passiven Muskels und damit mit Abbildung 17 vergleichbar. Wie in Abschnitt 6.3.3 ergeben sich die Verhältnisse der Elastizitätsmodule für kleine und große Längen zu etwa 1:10. Der übergangsbereich liegt auch bei etwa dem 2.5-fachen der Ausgangslänge des Muskels.

6.5 Isotone Messung des passiven Verhaltens

Bei dieser Messung werden die Kraft des Muskels sprunghaft verändert und die sich daraufhin einstellende Längenveränderung des Muskels $l_P(t)$ aufgezeichnet (Kriechen). Abbildung 22 zeigt einen solchen Ausgleichsprozess (Probe 4-D).

Da diese Messungen gegenüber der isometrischen Messung des passiven Verhaltens keine neuen Informationen über die mechanischen Eigenschaften des Muskels liefert, erfolgen keine weiteren Messungen dieser Art.

Abbildung 22: Länge $l_P(t)$ des Muskels bei Reaktion auf sprunghafte Kraftänderung (Kriechen) (Probe 4-D)
Image isotP

6.6 Isotone Messung des aktiven Verhaltens

Bei der isotonen Messung werden die Kraft konstant gehalten und die bei einer Aktivierung notwendige Längenänderung des Muskels $l_A(t)$ aufgezeichnet und deren zeitliche Ableitung $v_A(t)$ bestimmt.

6.6.1 Die Messdaten

Abbildung 23 zeigt den zeitlichen Verlauf der vom Schrittmotor nachgeregelten Probenlänge (schwarze Punkte, Probe 5-E). Rot eingezeichnet ist die rechnerisch ermittelte Verkürzungsgeschwindigkeit mit Maximum $v^M_A$. Damit die numerische Differentiation brauchbare Werte liefert, wurden die Orginaldaten geglättet (schwarze Linie).

Abbildung 23: Die Verkürzung des Muskels nach elektrischer Stimulation (graues Rechteck) bei konstanter Kraft über der Zeit aufgetragen (schwarz) sowie deren zeitliche Ableitung (rot),(Probe 5-E).
Image isotA

6.6.2 Die Kraft-Längen Diagramme

Abbildung 25 zeigt nun die ermittelten maximalen Verkürzungen $\Delta l^M_A(F)$ mit den dazugehörigen konstant gehaltenen Kräften (Probe 5-E). Es wurden zwischen 10 und 40 Kontraktionen für jede eingestellte Vorspannung nacheinander durchgeführt. Die Mittelwerte dieser Kontraktionen sind in der Messreihenfolge durch eine gestrichelte Linie verbunden. A markiert den Anfang und B das Ende (siehe Abbildung 25). Abbildung 24 zeigt die dazugehörigen Ruhelängen $l^0_A(F)$.

Abbildung 24: Ruhelängen $l^0_A(F)$ bei konstant gehaltener Kraft (Probe 5-E). Ausgleichsgeraden mit ungefähren Steigungen $m_1$ und $m_2$ sind angedeutet. Die Ausgangslänge $l_0$ des Muskels beträgt $6.1 \,mm$
Image lfa2a

Abbildung 25: Maximale Verkürzungen $\Delta l^M_A(F)$ bei konstant gehaltener Kraft (Probe 5-E). A: Messbeginn, B: Messende; Rechts oben: Vergrößerung
Image lfa1a

6.6.3 Das Kraft-Geschwindigkeits Diagramm

Abbildung 26 zeigt nun die ermittelten, maximalen Verkürzungsgeschwindigkeiten mit den dazugehörigen, konstant gehaltenen Kräften (Probe 5-E). Es wurden zwischen 10 und 40 Kontraktionen für jede eingestellte Vorspannung nacheinander durchgeführt. Die Mittelwerte dieser Kontraktionen sind in der Messreihenfolge durch eine gestrichelte Linie Verbunden (siehe Abbildung 26). A markiert den Anfang und B das Ende .

Abbildung 26: Isotonische Kraft-Geschwindigkeitskurve eines aktivierten Muskels (Probe 5-E). A: Messbeginn, B: Messende; Rechts oben: Vergrößerung
Image fv2a

6.6.4 Energiebetrachtungen

Bei der isometrischen Messung leistet der Muskel keine äußere mechanische Arbeit. Bei der isotonischen Messung lässt sich die geleistete, mechanische Arbeit jedoch aus dem Produkt der konstant gehaltenen Kraft und der nachgeregelten Länge berechnen. Die Abbildung 27 zeigt die geleistete, mechanische Arbeit in Abhängigkeit der Kraft (Probe 5-E).

Es ist deutlich zu erkennen, dass die geleistete Arbeit mit zunehmender innerer Kraft des Muskels zunimmt. Ab einer bestimmten Kraft steigt die geleistete Arbeit jedoch nicht weiter an, sondern bleibt konstant.

Abbildung 27: Isotonisch geleistete mechanische Arbeit des Muskels über Kraft aufgetragen (Probe 5-E). A: Messbeginn, B: Messende
Image pw2a

6.6.5 Ergebnisse

Beim Vergleich des Kraft-Geschwindigkeits-Diagramms (Abbildung 26) mit der Abbildung 4 fällt auf, daß die Kontraktionsgeschwindigkeit nicht für verschwindende Kräfte maximal wird wie bei der gestreiften Muskulatur, sondern nach überschreiten einer maximalen Verkürzungsgeschwindigkeit auf Null zurückgeht. Die maximale Verkürzungsgeschwindigkeit stellt sich dann ein, wenn die aktuelle Muskellänge etwa das $1.5$ fache der Ausgangslänge erreicht. Gleiches gilt für die maximalen Verkürzungen gemä§ Abbildung 25. Verkürzungen und Verkürzungsgeschwindigkeiten verlaufen also quasi-affin in Abhängigkeit von der Kraft.

Hierraus kann geschlossen werden, dass die Kontraktilität -- gegeben durch die Anzahl der Querbrücken und ihrer ''Koppelfrequenz'' — von der Kraft und der Länge des Muskels abhängt. Trotz dieses grundsätzlich verschiedenen Verhaltens glatter und gestreifter Muskulatur, sind die Verläufe der geleisteten isotonischen Arbeiten ähnlich.


next up previous contents
Nächste Seite: 3 Theoretischer Teil Aufwärts: 2 Experimenteller Teil Vorherige Seite: 5 Messvorbereitungen   Inhalt
Thorsten Foerstemann (thorsten@foerstemann.name)